首页>软件资讯>常见问题

常见问题

GraphPad Prism零代码绘制SCI配图

发布时间:2022-11-30 11:39:51人气:1393

GraphPad Prism一款实用的绘图软件。汇集生物统计、化学统计、以及科技绘图于一身,有超过110个国家的超过20万名科学家用这个软件来分析、绘制和展示他们的科学数据。

GraphPad Prism零代码绘制SCI配图.png

不需要学习复杂的编程,无需代码,用起来像EXCEL一样点点点就生成了精致的结果图,界面友好,不用挠头。

绘制图像

打开软件后,根据左侧的提示选择合适的模板,比如柱状图、折线图、散点图等,然后在右侧选择参数。如果暂时没有数据可以选择示例数据


2.png

3.png

进入界面后左侧有几个重要的选项,用于数据调整、绘图、排版。


数据窗口:输入或修改绘图的原始数据

图表窗口:查看生成的图片,修改字体和主题风格

排版窗口:可以将多幅结果图排版成一张图片

4.png

在绘图界面,可以点击上方的菜单栏实现对字体、颜色、粗细的修改,还能自由添加显著性标记和参数值。

5.png


导出图像

绘制好一幅图后,需要将其保存导出,点击右上角附近的Export键进行保存,笔者之前试过导出TIFF格式,文件是真的大,把论文发给导师修改时一个Word有200MB,仔细一看五张黑白柱形图占了190MB...


因此,在这里选择导出为高分辨率的PNG图片或者PDF格式,方便后续修改。

6.png


更多功能介绍

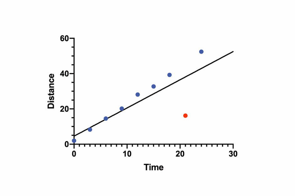
一键式回归分析

选择一个方程式,Prism执行其余的曲线拟合处理,显示结果和函数参数表,在图形上绘制曲线,并插入未知值。

7.png


自动实时更新提示

无需编码,图表和结果会实时自动更新。对数据和分析的任何更改、添加遗漏数据,省略错误数据,更正拼写错误或更改分析选择,都会立即反映在结果,图表和布局中。


640.gif

一键导出高质量的图形 Prism允许自定义导出(文件类型,分辨率,透明度,尺寸,颜色空间RGB / CMYK)以满足期刊的要求。设置默认值可以节省时间。

9.png


以上内容是GraphPad Prism绘制SCI配图的步骤,更多使用问题请留言。


上一条:Origin图层操作

下一条:MyEclipse集成的WebSphere IDE,让新一代电子商务应用更智能化